LeetCode初级算法之字符串:21.合并两个有序列表
题目信息
题目地址:https://leetcode-cn.com/problems/merge-two-sorted-lists/
将两个升序链表合并为一个新的 升序 链表并返回。新链表是通过拼接给定的两个链表的所有节点组成的。
示例:
输入:1->2->4, 1->3->4
输出:1->1->2->3->4->4
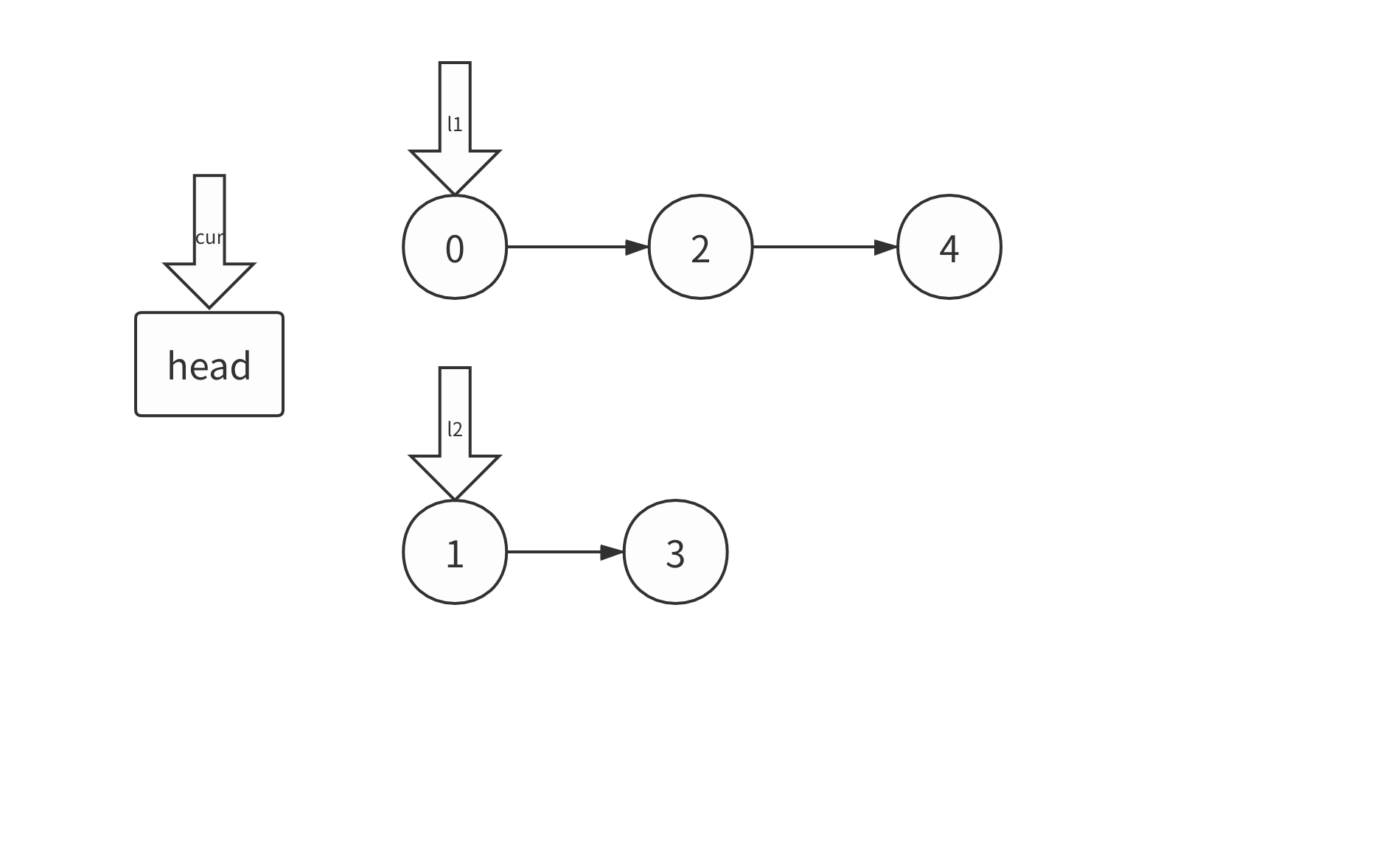
解法一:迭代
两个链表两个指针不停的比较拼接新链表直到都遍历完成,每个迭代四个变动(三个指针以及cur指针的next)
1 | public ListNode mergeTwoLists(ListNode l1, ListNode l2) { |
解法二:递归
同样的改递归自顶向上,到l1/l2为null时才完成全部,那么他就是我们的递归出口,除此之外循环迭代最后一步也就是比大小设置指向。这样去想如果l1.next与l2已完成顺序合并,那么l1改指向谁呢?
1 | public ListNode mergeTwoLists(ListNode l1, ListNode l2) { |
总结
也是比较简单并且与前几道题一样仍然是迭代调整同样也可以转一下递归
本博客所有文章除特别声明外,均采用 CC BY-NC-SA 4.0 许可协议。转载请注明来自 木瓜煲鸡脚's blog!
评论


